Создание пула ВМ для инфраструктуры ВРМ
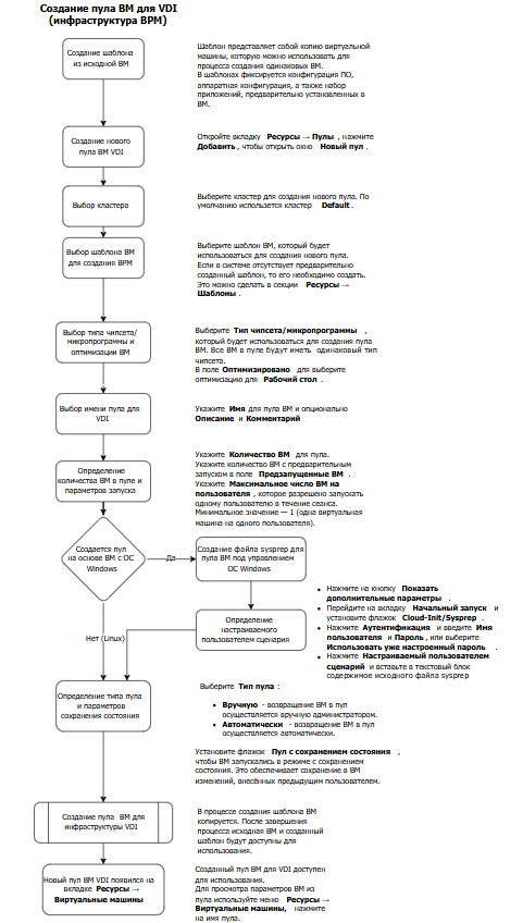
После завершения процесса создания шаблона ВМ необходимо создать пул ВМ, который будет использоваться для предоставления ВМ пользователям.
Процесс создания пула ВМ для инфраструктуры ВРМ представлен на рисунке 3.

Рисунок 3 ‒ Создание пула ВМ для ВРМ
Подробно действия по созданию пула ВМ приведены в разделе Пулы .